近日,理学院核物理研究团队在致密星体中新物质形态研究的课题中取得了重要进展,相关的研究成果以ac米兰官方中文网站第一单位通过“快报(Letter)”的形式在《Physical Review D》(自然指数顶刊)发表了题为“Axion effects on quark matter and quark-matter cores in massive hybrid stars”的研究论文。我院核物理团队刘鹤副教授为第一作者和通讯作者,其余教师为共同通讯。
探索致密星体内部可能出现的新物质形态是当前核物理和天体物理的热点。强相互作用中的电荷-宇称(CP)对称性破缺是量子色动力学中的一个重要现象。轴子作为一种暗物质候选粒子,被引入来解释QCD中强相互作用CP对称性破缺问题。QCD轴子的引入不仅能够解释CP对称性破缺问题,还可能对强相互作用物质的相变和状态方程产生重要影响。最近的天文研究表明在中子星极冠区域的非稳态双等离子体放电过程中,轴子能够高效产生,其中相当一部分产生的轴子会受到引力束缚而聚集在中子星周围,形成一个致密的“轴子云”。轴子云主要通过共振轴子-光子混合来辐射能量,这会产生一系列独特的信号从而被探测。此外双中子星合并事件近期也成为探测超出标准模型粒子如QCD轴子的新工具。因此探讨QCD轴子对致密星体的结构特征和稳定性的影响,有助于理解宇宙起源和极端条件下的物质演化过程。
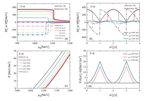
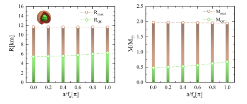
研究团队利用三味NJL模型并通过轴子场来描述强相互作用电荷-宇称(CP)对称性破缺效应,研究了轴子场对夸克物质和大质量致密星体的影响。研究表明轴子场降低了夸克物质一阶相变的重子化学势(重子数密度),将导致夸克物质状态方程的硬化和夸克星最大质量的增加。但是研究发现轴子场对包含强子-夸克相变的混合星物质的影响与预期相反。在轴子场作用下,强子-夸克混合相的相变起始点移至更低的密度,但软化了混合相物质的状态方程,这也导致混合星的最大质量和相应半径略有减少。重要的是团队还首次发现在轴子场作用下混合相起始点的降低却显著增加了混合星中夸克物质核心的半径和质量。因此研究结果表明,随着轴子场效应的存在,在2倍太阳质量(2M⊙)的大质量中子星中可以存在一个相当大的夸克物质核心。

不同标度轴子场对夸克物质的热力学性质的影响

不同标度轴子场对混合星性质的影响

不同标度轴子场对混合星夸克物质核心的质量和半径的影响
以上的研究工作获得了国家自然科学基金面上项目、国家自然科学基金青年项目等国家级项目和山东省自然科学基金杰青项目、山东省自然科学基金优青项目、山东省高等学校优秀青年创新团队、山东省自然科学基金青年项目等省部级项目的资助。(撰稿:刘鹤;审核:孔亮、初鹏程)